Prática como componente curricular
O texto a seguir é um trabalho feito para a disciplina de Cálculo Numérico. O objetivo é encontrar possíveis aplicações dos conteúdos estudados e construir essas ideias com os alunos do ensino fundametal e médio, respeitando os parâmetros curriculares.
O público alvo deste texto são os professores licenciados em Matemática.
►Introdução
No mundo atual, cirurgias de risco, que antes eram feitas sem muitos recursos e dependiam basicamente da habilidade manual do médico e de alguns assistentes, hoje, são realizadas com o auxílio de computadores sofisticados e o doutor quase não toca no paciente. Tudo isso, graças aos avanços da Matemática e da Física na área da medicina.
Máquinas e instrumentos de alta precisão são essenciais na construção de pequenos objetos como os microprocessadores e de objetos grandiosos como foguetes e satélites. Obviamente, os foguetes não fazem parte do nosso cotidiano. Todavia, nossas televisões e os programas que assistimos dependem de satélites.
Um ajustador mecânico depara-se todos os dias com arredondamentos e precisões prefixadas ao tornear uma peça, pois ela tem uma finalidade ao ser construída e cabe ao ajustador saber, de acordo com as especificações da empresa que vai adquirir o produto, como não danificá-la. Certamente este profissional possui instrumentos que garantem essa precisão.
Vejamos um exemplo:
- É preciso fabricar uma peça cilíndrica com o diâmetro de 100 mm com a margem de erro de ± 0,1 mm.
Isto significa que, ao final do processo, a peça deve possuir as seguintes medidas para estar dentro do esperado: 100 mm ou 100,1 mm ou 99,9 mm.
O ajustador precisou usar algumas ferramentas para concluir o serviço com sucesso. Todo esse processo exigiu um conhecimento prévio de técnicas imprescindíveis para que tal objetivo fosse alcançado.
Vale lembrar que o cálculo aproximado é tão legítimo quanto o exato. Vale lembrar também que toda medição está sujeita a incertezas, pois os instrumentos de medida têm limitações, uma margem de erro.
A Matemática possui muitas ferramentas que, além de nos ajudar a resolver problemas do dia a dia, nos auxilia a modelar fenômenos naturais.
Esquematicamente podemos representar as etapas da solução de um problema por meio da figura abaixo.
Numa primeira etapa, teríamos de obter um modelo matemático que representasse de maneira mais conveniente o problema específico que se quer estudar. Esse modelo seria construído utilizando-se teorias físicas, químicas, econômicas etc. Para um mesmo problema é possível ter modelos matemáticos diferentes, dependendo do enfoque desejado. O modelo, em geral, contém simplificações da realidade que nos levam a um problema matemático solúvel.
O Cálculo Numérico corresponde a um conjunto de ferramentas ou métodos usados para obter a solução de problemas matemáticos de forma aproximada. Esses métodos se aplicam principalmente a problemas que não apresentam uma solução exata, portanto precisam ser resolvidos numericamente.
Dentre os conteúdos estudados em Cálculo Numérico, vamos trabalhar aqui com Aritmética de ponto flutuante, Método da dicotomia e Integração Numérica: Método dos Trapézios.
►Aritmética de ponto flutuante
No 4° e 5° ano, os alunos são incentivados a fazer estimativas ao calcular o preço de produtos, volume e outras coisas. A ideia principal de estimar um preço ou um volume é de arredondar ou aproximar o número para sua dezena mais próxima, centena mais próxima etc., o que está intimamente ligado à aritmética de ponto flutuante.
É muito importante saber julgar quando é necessário arredondar um número ou não. Suponha que a distância entre duas cidades A e B seja de 50,2 km. Agora, imagine dois amigos, João e José, conversando. João quer saber quanto tempo ele gastaria para chegar até a cidade B, sendo que ele partiu de A e viajou numa velocidade constante igual a 50 km/h. José, conhecendo a distância entre as cidades, responde cerca de uma hora. A resposta de José está muito próxima do tempo real e, numa conversa entre amigos, um cálculo preciso não é necessário.
Poderíamos imaginar um caso em que, numa viagem, o carro de José quebrou entre o quilômetro 73 e 74. Ele telefona para o guincho e precisa dar a informação de onde se encontra. Vamos supor que José seja um matemático e tenha conseguido medir a distância exata de onde está. Se ele disser que está no 26√8 km, muito provavelmente terá problemas. Bastaria dizer que está entre o quilômetro 73 e 74.
“É claro que se José fosse matemático seu carro não apresentaria problemas, pois com certeza teria passado por uma revisão antes de viajar.”
Por mais inocente que estas suposições pareçam, iremos nos prender a elas e fazer um paralelo com o conteúdo em discussão.
A aritmética de ponto flutuante pode ser trabalhada com alunos do ensino fundamental e médio, dependendo da criatividade do educador. Atividades como as realizadas em Introdução às Medidas em Física podem muito bem ser aplicadas aos alunos do 5° ano até o último ano do ensino médio, pois as idéias de estimativas, arredondamentos, coleta de dados etc., as quais são encontradas nos blocos números e operações e tratamento da informação, são praticamente pré-requisitos para esta disciplina.
Exemplificando o parágrafo acima, pode-se propor aos alunos que realizem a seguinte atividade: medir a espessura de uma folha de sulfite com uma régua. Evidentemente os alunos, a priori, encontrar-se-ão num impasse diante desta situação-problema. Após alguns minutos, caso nenhum aluno tenha uma idéia, pode-se perguntar “Se juntarmos cem folhas de sulfite e medir com uma régua teremos a espessura de uma das folhas?” Dessa maneira, passaremos a idéia de que cem folhas juntas podem ser medidas com uma régua e como todas essas folhas têm a mesma espessura podemos dividir este valor por cem, obtendo o valor aproximado de uma folha. Feito isso, eles irão coletar as medidas desta experiência, que será realizada mais de uma vez: uma com cem folhas, dividindo o valor total por cem, outra com 200 folhas, dividindo o valor total por 200 e outra com 500 folhas, dividindo o valor total por 500. Provavelmente as medidas coletadas terão pequenas diferenças, pois o instrumento utilizado é uma régua e o número de folhas muda conforme o experimento. Pode-se pedir a alguns grupos que aproximem os valores encontrados para a casa decimal mais próxima e deixar que os outros grupos façam a experiência sem arredondar os números obtidos.
Depois de realizar as três medidas, calcula-se a média entre os valores encontrados, tendo como objetivo conseguir um bom valor aproximado da espessura da folha de sulfite. É importante discutir por que algumas medidas feitas por outros grupos tiveram algumas diferenças. A resposta é simples! Como alguns grupos arredondaram os valores encontrados e os outros não arredondaram teremos uma pequena diferença. É imprescindível discutir a importância de aproximar ou não um número, pois eles perceberão quando será necessário usar este recurso.
Vamos somar os seguintes números com algarismos significativos diferentes.
(1,14 + 1,14 = 2, 28); (2, 28 + 2, 28 = 4,56); (4, 56 + 4, 56 = 9, 12)
Agora, vamos arredondar o primeiro número e seguir o mesmo raciocínio.
(1, 1 + 1, 1 = 2, 2); (2, 2 + 2, 2 = 4, 4); (4, 4 + 4, 4 = 8, 8)
Podemos perceber que já temos uma pequena diferença entre os valores.
“Em quais situações devemos ou não aproximar um número?” Para responder esta pergunta precisamos saber qual é a necessidade latente na situação. Descobrindo a necessidade da situação não fica difícil responder esta questão.
Na atividade sugerida acima, sobre medir a espessura da folha, é importante lembrar que a régua consegue medir com precisão milímetros e não décimos ou centésimos de milímetros. Mesmo com esta precisão, temos de lidar com uma margem de erro, que neste caso é a metade do que a régua consegue medir com precisão, a metade de 1 milímetro, ou seja, qualquer medida feita com a régua deve ter uma margem de erro de ± 0,5 mm. Este é um fato interessante para se discutir com os alunos.
A folha de sulfite tem em média 0,09 mm de espessura. Esta medida poderia ser representada desta maneira: 0,9 ×10 -1 mm. Para ficar um pouco mais claro como funciona a idéia de aritmética de ponto flutuante mostraremos por que transformamos a medida 0,09 mm em 0,9×10 -1 mm .
A representação dos números nesta forma 0, d1 d2 d3… dt × Be ,onde d1 ≠ 0, 0 ≤ d1 < B,
i = 1, 2, …, t e m ≤ e < M. O número 0, d1 d2 d3… dt é chamado de mantissa, ‘B’ é a base, ‘e‘ é o expoente, ‘m’ o limite inferior do expoente, ‘M’ o limite superior do expoente e ‘t’ o número de algarismos significativos. Esta representação é chamada de representação em ponto flutuante na base ‘B’ e ‘t’ algarismos significativos.
Portanto, em nossa representação do número 0,9 ×10 -1 mm, 0,9 seria a mantissa, 10 seria a base, -1 seria o expoente e teríamos 1 algarismo significativo. Não se preocupe, é apenas uma representação!
Os alunos do ensino médio, em suas aulas de Física, provavelmente já trabalharam com notação científica e não terão dificuldades.
Acreditamos que a aritmética de ponto flutuante aplicada aos assuntos do nosso cotidiano pode muito bem motivar e auxiliar o aprendizado dos alunos de ensino fundamental e médio.
[…]Ao longo do ensino fundamental o conhecimento sobre os números é construído e assimilado pelo aluno num processo em que tais números aparecem como instrumento eficaz para resolver determinados problemas, e também como objeto de estudo em si mesmos, considerando-se, nesta dimensão, suas propriedades, suas inter-relações e o modo como historicamente foram constituídos.
Nesse processo, o aluno perceberá a existência de diversos tipos de números (números naturais, negativos, racionais e irracionais) bem como de seus diferentes significados, à medida que deparar com situações-problema envolvendo operações ou medidas de grandezas, como também ao estudar algumas das questões que compõem a história do desenvolvimento do conhecimento matemático.
Com relação às operações, o trabalho a ser realizado se concentrará na compreensão dos diferentes significados de cada uma delas, nas relações existentes entre elas e no estudo do cálculo, contemplando diferentes tipos – exato e aproximado, mental e escrito.
Embora nas séries iniciais já se possa desenvolver alguns aspectos da álgebra, é especialmente nas séries finais do ensino fundamental que as atividades algébricas serão ampliadas. Pela exploração de situações-problema, o aluno reconhecerá diferentes funções da Álgebra (generalizar padrões aritméticos, estabelecer relação entre duas grandezas, modelizar, resolver problemas aritmeticamente difíceis), representará problemas por meio de equações e inequações (diferenciando parâmetros, variáveis, incógnitas, tomando contato com fórmulas), compreenderá a sintaxe. (regras para resolução) de uma equação.
Esse encaminhamento dado à Álgebra, a partir da generalização de padrões, bem como o estudo da variação de grandezas possibilita a exploração da noção de função nos terceiro e quarto ciclos. Entretanto, a abordagem formal desse conceito deverá ser objeto de estudo do ensino médio. (p.50) Fonte: Portal MEC
►Dicotomia
Segundo o PCN, nas orientações didáticas para terceiro e quarto ciclos, estão incluídos conteúdos de radiciação, potenciação, equações de primeiro e segundo grau etc. Pode-se usar a dicotomia como uma ferramenta a mais na resolução de equações.
Às vezes, os alunos acham que existe apenas uma maneira de chegar à solução e mostrar técnicas diferentes para resolver a mesma situação-problema pode contribuir bastante na construção do conhecimento.
O método da dicotomia ou bissecção consiste em dividir um intervalo, onde se encontra a solução da equação, ao meio e a partir de uma informação, que pode ser dada pelo professor, continuar a dividir este intervalo ao meio mais uma vez até que se consiga uma boa aproximação da resolução dessa equação.
Exemplificando a descrição do método acima, pode-se propor a seguinte atividade que pode ser aplicada a todos os anos do ensino fundamental e médio:
Escolhe-se um número natural entre 1 e 100. O professor pede aos alunos que adivinhem o número que ele escolheu. Provavelmente, eles começarão a falar vários números. É interessante que o professor vá anotando estes números na lousa até adivinharem o número escolhido.
Depois, pode-se colocar uma condição que os faça pensar um pouco mais antes de sair falando: “Vocês têm apenas 10 tentativas para adivinhar o número que escolhi.” Ou “Vocês têm apenas 6 tentativas para adivinhar o número que escolhi.”
O truque consiste em pegar o intervalo dado e dividi-lo ao meio. Supondo que o professor tenha escolhido o número 22. Vamos começar o desafio.
Ao dividir o intervalo ao meio obteremos o número 50, portanto 50 seria nosso primeiro chute. Logo depois, o professor deve dizer se o número é maior ou menor que 50. Sabemos agora que o número é menor que 50, logo nosso novo chute depende deste novo intervalo. Assim, nosso novo chute será 25. O professor responderá que o número escolhido é menor. Então, nosso chute agora está no meio do intervalo que contém números de 1 a 25. Mas, como os números são naturais não encontraremos o meio do intervalo. No entanto, vamos pegar um número acima do que seria o meio. Ao invés de pegar o 12,5, que neste intervalo não existe, vou chutar o 13. E assim por diante até encontrar o valor escolhido pelo professor.
Esta é uma técnica muito interessante que pode ser usada para determinar um valor aproximado de uma raiz quadrada entre outras coisas.
Vamos colocar um exemplo de como calcular a raiz quadrada de 5 com um erro menor que 0,02. Sabemos que determinar √5 é equivalente a encontrar o zero positivo da equação x2– 5 = 0. Dado o intervalo A = [2,3], vamos definir algumas coisas: ai e bi são o extremo inferior e o superior, respectivamente, do intervalo dado; Xi é o valor aproximado da raiz e Ei é o erro cometido. Inicialmente temos:
Lembrando que, quando o sinal da multiplicação de f(Xi)f(ai) for negativa, o valor de ai continua o mesmo e troca-se apenas o valor de bi pelo valor de Xi. Caso a multiplicação possuir valor positivo, troca-se o valor de ai pelo valor de Xi e o valor de bi é mantido para a próxima operação.
Portanto o valor de √5 é 2,234375 ± 0,015625.
►Método dos trapézios
A partir do 4° ano, os alunos começam a ter uma idéia de superfície e de como calcular a área de polígonos. Em geral, trabalha-se com triângulos e retângulos. Por este motivo, nada impede que trabalhemos com trapézios retângulos já que estes são formados por um triângulo e um retângulo. Cabe ao educador mostrar a composição dos polígonos e seu resultado final.
Mesmo que o conteúdo a ser trabalhado, a integração numérica, seja oferecido em faculdades e em pouquíssimos colégios particulares, a idéia principal do cálculo da área por aproximação de polígonos é totalmente palpável para alunos do ensino fundamental e principalmente do ensino médio.
Na minha opinião, parece que existe um certo conservadorismo por parte dos educadores e do seleto grupo que rege as leis e os parâmetros curriculares, pois a técnica de integrar é muito antiga e existe a mais de 300 anos, mesmo assim, a integral não consta nos Parâmetros Curriculares Nacionais. Em contrapartida, no ramo das ciências biológicas, a estrutura do DNA que foi descoberta a menos de 80 anos já está inserida nos livros didáticos. (Eu não precisava ter escrito isso.)
Não estou dizendo que devemos inserir conteúdos e mais conteúdos, mesmo porque os problemas na educação não seriam resolvidos desta forma. Mas uma reformulação ou uma reciclagem dos conteúdos pode ser feita, assim como fizeram com a biologia no exemplo acima. Enfim, saindo desta utopia, podemos pelo menos afirmar que um educador recém formado, que tem em suas mãos uma ferramenta muito eficaz, pode deixar as aulas mais interessantes.
Lembrando que a ideia de calcular área com a aproximação por polígonos é tão antiga quanto a própria técnica de integrar. Isto torna muito mais natural o aprendizado, já que o ser humano começou a calcular área desta maneira.
Podemos aplicar a seguinte atividade para os anos inicias:
Qual é a área, em centímetros quadrados, desta folha?
Uma resposta possível seria 13 cm2 .
Pode-se perguntar: “A área desta folha pode ser melhorada?; Podemos dividir em quadrados menores? E em triângulos?”
Estas perguntas podem incentivar o aluno a encontrar e construir novas idéias de cálculo de área, o que é a essência da integral. Este é um momento oportuno para comentar sobre o método da exaustão. Arquimedes usou este método para tentar calcular o valor de π preenchendo o círculo com polígonos de um número cada vez maior de lados. O quociente formado pela área desses polígonos dividido pelo quadrado do raio do círculo pode ser tão próximo do valor de π quanto quisermos se escolhermos um número de lados do polígono muito grande.
A partir do último ano do ensino fundamental e durante o ensino médio, podemos, literalmente, usar o método dos trapézios para calcular área, pois funções e gráficos já estão presentes nos conteúdos.
Método dos trapézios: [a,b]=[x0, xn ]
Claro que a formalização da teoria com as fórmulas, a priori, é um bicho de sete cabeças para os alunos e assusta um pouco. Porém, pode-se mostrar como calcular a área com exemplos simples.
Para calcular a área abaixo do gráfico, usamos o método dos trapézios, o que não é muito diferente do método de exaustão. A única diferença neste método é que nós não ficamos tão exaustos como as pessoas daquela época. Que bom!
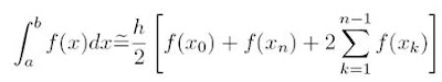
Primeiro divide-se [a,b] em n intervalos de comprimento h = (b-a)/n, para dar o mesmo tamanho aos intervalos. No caso acima, temos 2 trapézios, isto significa que n = 2.
Como calcular?
A área do trapézio é igual a [(B + b) h]/2, onde B é a base maior, b é a base menor e h é a altura do trapézio.
A altura do trapézio T1 é igual a (x1 – x0), a base maior é f(x1) e a base menor é f(x0). Portanto, a área deste polígono é :
Área T1 = [( f(x1) + f(x0) ) (x1 – x0) ]/ 2
De forma análoga, podemos calcular a área do trapézio T2.
Área T2 = [( f(x2) + f(x1) ) (x2 – x1) ]/ 2
No final do processo somamos as áreas T1 e T2 , conseguindo, assim, a área aproximada abaixo do gráfico. Lembre-se que (x1 – x0) = (x2 – x1)= h = (b-a)/2, pois pegamos intervalos de mesma medida.
Usando a fórmula do método dos trapézios teríamos o seguinte resultado:
[( f(x0) + 2f(x1) + f(x2)] = (x2 – x0) [( f(x0) + 2f(x1) + f(x2)]/ 4, que é igual a soma das áreas T1 e T2 .
Para achar os valores de f(x) basta substituir os valores de x. Por exemplo: se f(x) = 2x e o intervalo é [2,4], podemos dividir em 2 trapézios e escolher os valores para x = {2, 3, 4} , assim teríamos os seguintes valores para f(x): {4, 6, 8}.
Claro que para resolver o problema precisamos saber qual é a função e substituir os valores. Esta é uma forma diferente de calcular área, porém eficaz.
►Referência bibliográfica
>>Livro: Noções de Cálculo Numérico
Autores:Ana Flora P. de Castro Humes, Inês S. Homem de Melo, Luzia Kazuko Yoshida, Wagner Tunis Martins
►Para saber mais:
Acesso em 05 de Janeiro de 2019.






Comentários